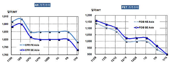
AN(Acrylonitrile) 가격은 1월13일 FOB FE Asia 톤당 1810달러로 40달러 급락했다.
아시아 AN 시세는 국제유가 하락과 수요 둔화를 배경으로 하락했다.
중국 내수가격도 톤당 12700-13500위안으로 전주보다 낮았으며, 수입가격 기준으로는 2015-2142달러를 형성한 것으로 나타났다.
시장 관계자는 “중국 내수가격이 하락하면서 현물 거래보다는 중국 생산기업의 판매율이 높았다”고 밝혔다.
원료인 프로필렌(Propylene) 가격은 전주대비 10달러 상승해 톤당 730달러를 형성했으나 AN 가격 상승으로는 이어지지 못했다.
부원료인 암모니아(Ammonia)도 650달러로 하락했다.
시장 관계자는 “불확실한 요인이 많아 구매자들이 구매 결정에 신중하다”며 “중국의 정기보수로 인한 수급타이트라던가 국제유가의 등락 등 정반대 요인들이 동시에 작용하기 때문”이라고 말했다.
Secco Petrochemical은 Jinshan 소재 26만톤 플랜트를 1월부터 1달간 정기보수한다.

한편, PET 가격은 1월14일 Bottle 그레이드 기준 FOB NE Asia 톤당 895달러로 45달러 급락했다.
아시아 PET(Polyethylene Terephthalate) 시세는 국제유가 약세와 원료인 MEG(Monoethylene Glycol) 및 PTA(Purified Terephthalic Acid) 가격이 떨어진 영향으로 하락했다.
아시아 폴리에스터(Polyester) 평균 가동률이 75%를 상회하면서 공급과잉이 유발됐기 때문으로 수요가 증가하기 전까지 약세 지속이 불가피한 것으로 판단되고 있다. <배정은 기자>